- 欢迎访问河北自考网!为考生提供河北自考信息服务,供学习交流使用,非政府官方网站,官方信息以河北省教育考试院www.hebeea.edu.cn/为准。
2021年4月河北自考:概率论与数理统计(二)(02197)真题与答案
【导读】2022年4月河北自考在即,很多考生想要知道概率论与数理统计(二)专业考试的真题是怎样的,为了帮助各位同学,河北自考网为大家整理了以下真题资料以便大家复习,同学们一起来看看吧。










2021年4月自考概率论与数理统计(二)02197真题与答案
注意事项:
1.本试卷分为两部分,第一部分为选择题,第二部分为非选择题。
2.应考者必须按试题顺序在答题卡(纸) 指定位置上作答,答在试卷上无效。
3.涂写部分、画图部分必须使用2B铅笔,书写部分必须使用黑色字迹签字笔。
第一部分选择题
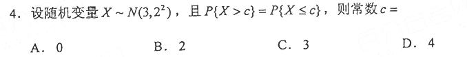
一、单项选择题:本大题共10小题,每小题2分,共20分。在每小题列出的备选项中只有一项是最符合题目要求的,请将其选出。
1.对于事件A,B,C,下列命题不成立的是

2.设事件A与B互不相容,且P(4)=0.5,P(B)=0.3, 则P(A-B)=
A.0.2
B. 0.3
C. 0.5
D.0.8
3.现有10只电子产品,在其中取两次,每次任取一只,取后不放回.己知取出的两只都是正品的概率为28/45则其中的次品数为
A.0
B. 1
C.2
D.3

5.对于任意参数,随机变量X均可满足E(X)= D(X),则X服从的分布一定是
A.二项分布
B.泊松分布
C.均匀分布
D.指数分布

A.变小
B.变大
C.不变
D.不变大
二、填空题:本大题共15小题,每小题2分,共30分。







上一篇:2021年4月河北自考:刑法学(00245)真题与答案
下一篇:2021年4月河北自考:刑事诉讼法学(00260)真题与答案
最近更新
- 2021年10月河北自考:学前教育史(00... 02-28
- 2021年10月河北自考:学前教育史(00... 02-28
- 2021年10月河北自考:计算机网络原... 02-25
- 2021年10月河北自考:计算机网络原... 02-25
- 2021年10月河北自考:资产评估(0015... 02-23
- 2021年10月河北自考:资产评估(0015... 02-23
- 2021年10月河北自考:学前比较教育(... 02-22
- 2021年10月河北自考:学前比较教育(... 02-22
- 2021年10月河北自考:法理学(0567... 02-21
政策公告
- 关于公布河北省2022年上半年高等教育... 05-07
- 关于警惕各类诈骗误导自考生的通知 04-30
- 关于发布2022年上半年河北省高等教育... 04-09
- 关于2022年上半年河北省高等教育自学... 04-02
- 2022年上半年河北自考免考申请公告 02-24
- 2022年关于政务服务事项办理地址变更... 12-21
- 关于调整2022年4月河北省自学考试理... 12-10
- 关于印发《2022年上半年河北省高等教... 11-05
- 2022年上半年河北省高等教育自学考试... 10-15


