- 欢迎访问河北自考网!为考生提供河北自考信息服务,供学习交流使用,非政府官方网站,官方信息以河北省教育考试院www.hebeea.edu.cn/为准。
2021年4月河北自考:计算机软件基础(一)(02243)真题与答案

计算机软件基础(一)
(课程代码02243)
注意事项:
1.本试卷分为两部分,第一部分为选择题,第二部分为非选择题。
2.应考者必须按试题顺序在答题卡(纸)指定位置上作答,答在试卷上无效。
3.涂写部分、画图部分必须使用2B铅笔,书写部分必须使用黑色字迹签字笔。
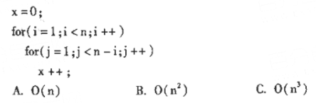
一、单项选择题:本大题共15小题,每小题2分,共30分。在每小题列出的备选项中只有一项是最符合题目要求的,请将其选出。
1.下列C语言不合法的自定义标识符是
A. mvar
B.3a
C. a_b
D. m6
2.若已定义单精度变量a,b在键盘上输人:2019,10(回车) ,能实现a读取2019,b读取10的正确语句是

A 0012
B.00012
C.000112
D.012




三、简答题:本大题共4小题,每小题4分,共{6分。
26.请写出C语言函数调用时的四种数据传递方式。,
27.请写出数据结构中关于队列的定义,并写出队列的两种存储结构。
28.若有二叉树的先序遍历序列:DBACEF ,其中序遍历序列: BCADEF,请画出该二叉树,并写出其后序遍历序列。
29.诸写出软件测试包含的四个步骤。
四、程序分析题:本大题共4小题,每小题4分,共16分。
30.从键盘上输人13679 ,写出下列程序的运行结果。


五、编程题:本大题共2小题,每小题9分,共18分。
34.若整型数组a的前10个元素数值已按值从小到大有序排列,要求输人一个整数num,并将num插入到该数组中,使得数组的数列依然有序,并输出结果。主函数和子函数声明已给出,请完成该子函数的代码。

35.已给出建立学生成绩数据链表函数,请分析该链表结构,补充编写删除链表中指定学号的学生节点的函数。


上一篇:2021年4月河北自考:中国法制史(00223)真题与答案
下一篇:2021年4月河北自考:行政管理学试卷(00277)真题与答案
最近更新
- 2021年10月河北自考:学前教育史(00... 02-28
- 2021年10月河北自考:学前教育史(00... 02-28
- 2021年10月河北自考:计算机网络原... 02-25
- 2021年10月河北自考:计算机网络原... 02-25
- 2021年10月河北自考:资产评估(0015... 02-23
- 2021年10月河北自考:资产评估(0015... 02-23
- 2021年10月河北自考:学前比较教育(... 02-22
- 2021年10月河北自考:学前比较教育(... 02-22
- 2021年10月河北自考:法理学(0567... 02-21
政策公告
- 关于公布河北省2022年上半年高等教育... 05-07
- 关于警惕各类诈骗误导自考生的通知 04-30
- 关于发布2022年上半年河北省高等教育... 04-09
- 关于2022年上半年河北省高等教育自学... 04-02
- 2022年上半年河北自考免考申请公告 02-24
- 2022年关于政务服务事项办理地址变更... 12-21
- 关于调整2022年4月河北省自学考试理... 12-10
- 关于印发《2022年上半年河北省高等教... 11-05
- 2022年上半年河北省高等教育自学考试... 10-15


